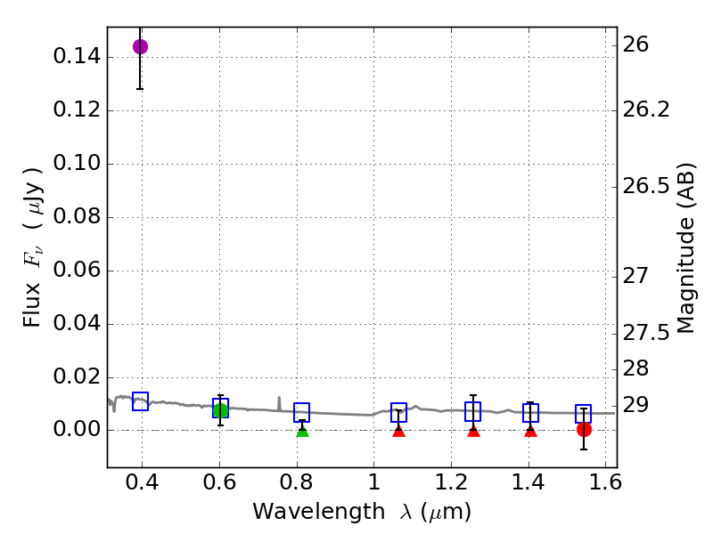
RXS0603+42-S IR detection object #5849

Color images and BPZ results
Catalog: 5849.cat
Black segments are analyzed here.   Roll mouse over color images to view segments.
Best viewed in a wide browser window (1200 pixels or more).   Download SED & P(z) plots to view larger versions.
In P(z) plots: Yellow lines mark the cluster redshift z = 0.228,  

Object #5849   x,y = (3645, 1689)   RA, Dec = (06:03:20.232, 42:09:07.56) = (90.83430, 42.15210)   BPZ = 1.700 [0.327--5.873]   type = 11.00 (SB11_A_0_l)   stellarity = 0.62   chisq2 = 18.13   ODDS = 0.13   z_cluster = 0.228