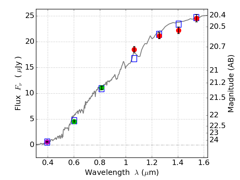
RXS0603+42-S IR detection object #5817

Color images and BPZ results
Catalog: 5817.cat
Black segments are analyzed here.   Roll mouse over color images to view segments.
Best viewed in a wide browser window (1200 pixels or more).   Download SED & P(z) plots to view larger versions.
In P(z) plots: Yellow lines mark the cluster redshift z = 0.228,  

Object #5817   x,y = (3054, 1697)   RA, Dec = (06:03:23.424, 42:09:08.28) = (90.84760, 42.15230)   BPZ = 0.303 [0.269--0.417]   type = 1.50 (Ell6_A_0 - Ell7_A_0)   stellarity = 0.98   chisq2 = 0.39   ODDS = 0.71   z_cluster = 0.228