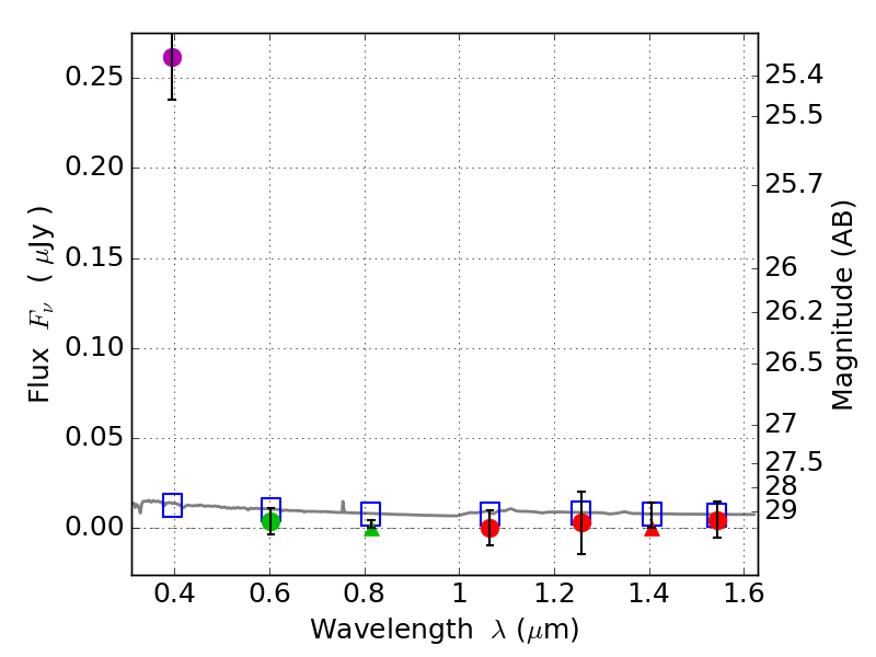
RXS0603+42-S IR detection object #5805

Color images and BPZ results
Catalog: 5805.cat
Black segments are analyzed here.   Roll mouse over color images to view segments.
Best viewed in a wide browser window (1200 pixels or more).   Download SED & P(z) plots to view larger versions.
In P(z) plots: Yellow lines mark the cluster redshift z = 0.228,  

Object #5805   x,y = (3654, 1713)   RA, Dec = (06:03:20.184, 42:09:09.00) = (90.83410, 42.15250)   BPZ = 1.699 [0.360--6.848]   type = 11.00 (SB11_A_0_l)   stellarity = 0.40   chisq2 = 27.64   ODDS = 0.12   z_cluster = 0.228