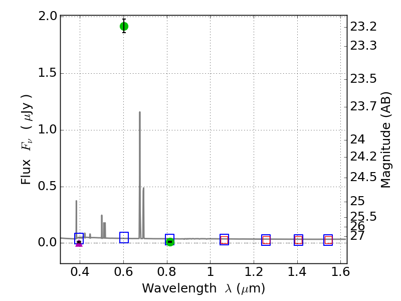
RXS0603+42-S IR detection object #5803

Color images and BPZ results
Catalog: 5803.cat
Black segments are analyzed here.   Roll mouse over color images to view segments.
Best viewed in a wide browser window (1200 pixels or more).   Download SED & P(z) plots to view larger versions.
In P(z) plots: Yellow lines mark the cluster redshift z = 0.228,  

Object #5803   x,y = (1361, 1714)   RA, Dec = (06:03:32.568, 42:09:09.00) = (90.88570, 42.15250)   BPZ = 0.027 [0.021--3.534]   type = 11.00 (SB11_A_0_l)   stellarity = 0.98   chisq2 = 1040.00   ODDS = 0.10   z_cluster = 0.228