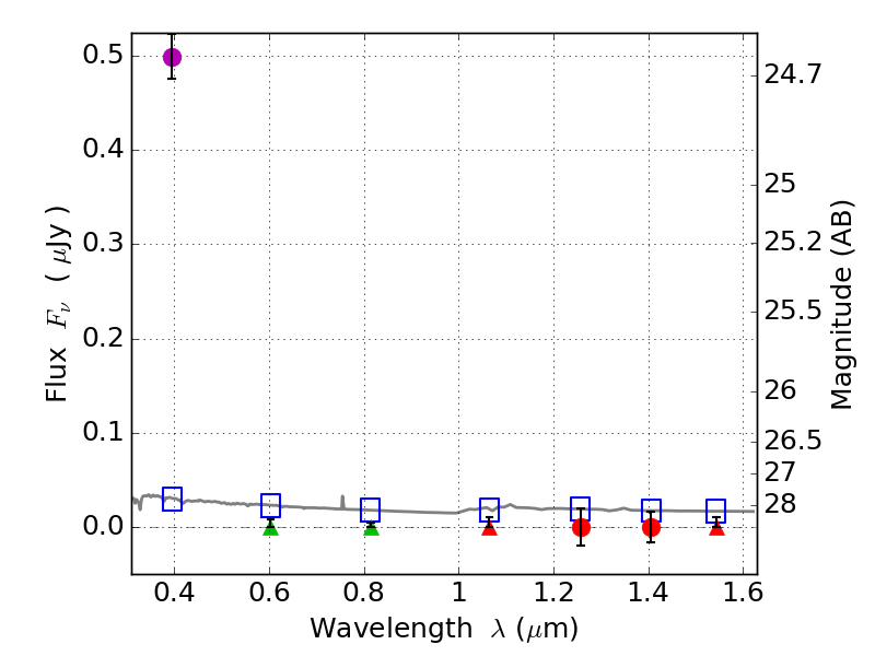
RXS0603+42-S IR detection object #5786

Color images and BPZ results
Catalog: 5786.cat
Black segments are analyzed here.   Roll mouse over color images to view segments.
Best viewed in a wide browser window (1200 pixels or more).   Download SED & P(z) plots to view larger versions.
In P(z) plots: Yellow lines mark the cluster redshift z = 0.228,  

Object #5786   x,y = (3608, 1718)   RA, Dec = (06:03:20.448, 42:09:09.36) = (90.83520, 42.15260)   BPZ = 1.700 [1.239--2.222]   type = 11.00 (SB11_A_0_l)   stellarity = 0.64   chisq2 = 106.10   ODDS = 0.46   z_cluster = 0.228