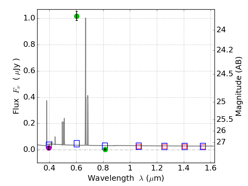
RXS0603+42-S IR detection object #5769

Color images and BPZ results
Catalog: 5769.cat
Black segments are analyzed here.   Roll mouse over color images to view segments.
Best viewed in a wide browser window (1200 pixels or more).   Download SED & P(z) plots to view larger versions.
In P(z) plots: Yellow lines mark the cluster redshift z = 0.228,  

Object #5769   x,y = (1152, 1730)   RA, Dec = (06:03:33.696, 42:09:10.08) = (90.89040, 42.15280)   BPZ = 0.023 [0.011--3.041]   type = 11.00 (SB11_A_0_l)   stellarity = 0.73   chisq2 = 794.30   ODDS = 0.56   z_cluster = 0.228