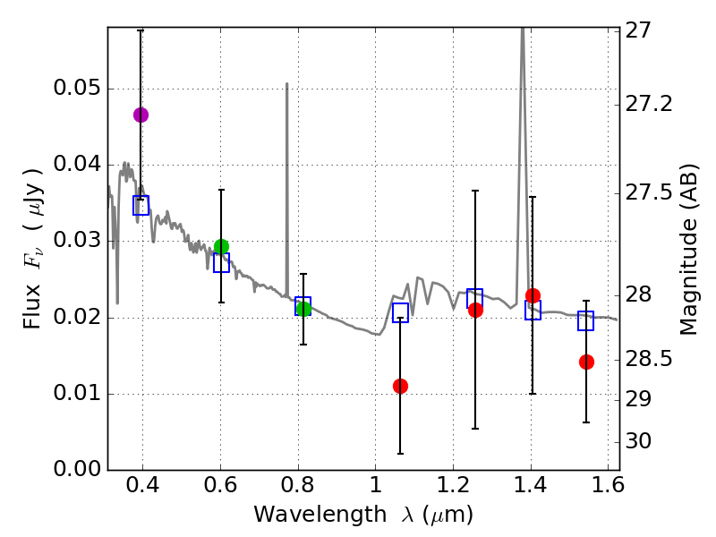
RXS0603+42-S IR detection object #5748

Color images and BPZ results
Catalog: 5748.cat
Black segments are analyzed here.   Roll mouse over color images to view segments.
Best viewed in a wide browser window (1200 pixels or more).   Download SED & P(z) plots to view larger versions.
In P(z) plots: Yellow lines mark the cluster redshift z = 0.228,  

Object #5748   x,y = (2006, 1736)   RA, Dec = (06:03:29.088, 42:09:10.44) = (90.87120, 42.15290)   BPZ = 1.762 [0.362--2.724]   type = 11.00 (SB11_A_0_l)   stellarity = 0.36   chisq2 = 0.68   ODDS = 0.22   z_cluster = 0.228