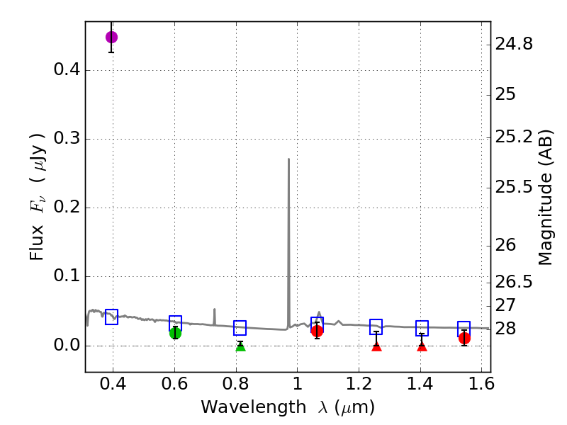
RXS0603+42-S IR detection object #5731

Color images and BPZ results
Catalog: 5731.cat
Black segments are analyzed here.   Roll mouse over color images to view segments.
Best viewed in a wide browser window (1200 pixels or more).   Download SED & P(z) plots to view larger versions.
In P(z) plots: Yellow lines mark the cluster redshift z = 0.228,  

Object #5731   x,y = (3660, 1740)   RA, Dec = (06:03:20.160, 42:09:10.80) = (90.83400, 42.15300)   BPZ = 1.611 [1.377--2.065]   type = 11.00 (SB11_A_0_l)   stellarity = 0.97   chisq2 = 85.15   ODDS = 0.48   z_cluster = 0.228