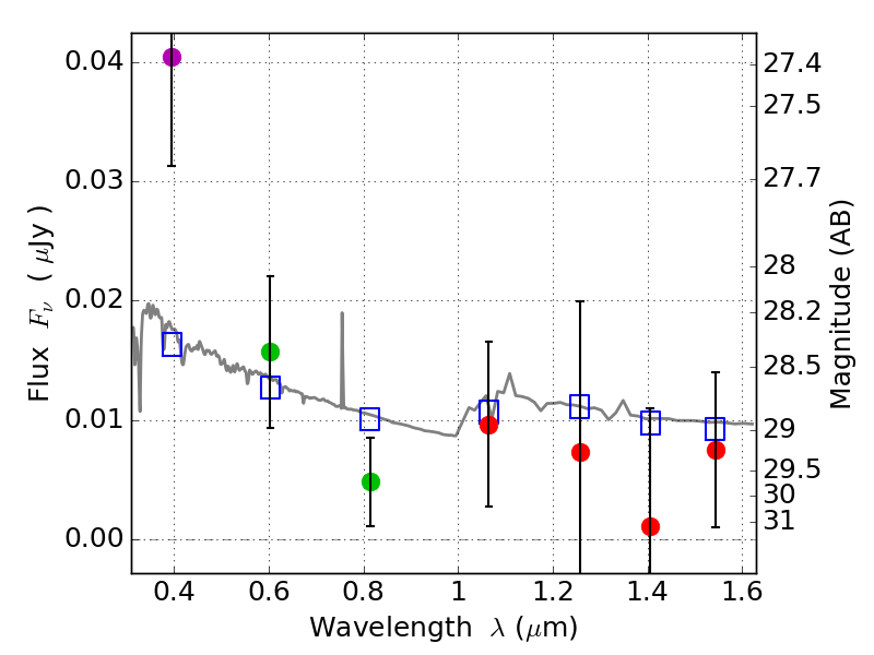
RXS0603+42-S IR detection object #5685

Color images and BPZ results
Catalog: 5685.cat
Black segments are analyzed here.   Roll mouse over color images to view segments.
Best viewed in a wide browser window (1200 pixels or more).   Download SED & P(z) plots to view larger versions.
In P(z) plots: Yellow lines mark the cluster redshift z = 0.228,  

Object #5685   x,y = (2083, 1756)   RA, Dec = (06:03:28.680, 42:09:11.52) = (90.86950, 42.15320)   BPZ = 1.703 [0.432--2.878]   type = 11.00 (SB11_A_0_l)   stellarity = 0.36   chisq2 = 2.44   ODDS = 0.20   z_cluster = 0.228