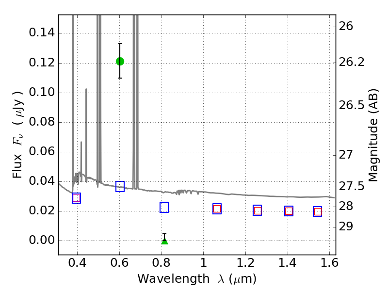
RXS0603+42-S IR detection object #5668

Color images and BPZ results
Catalog: 5668.cat
Black segments are analyzed here.   Roll mouse over color images to view segments.
Best viewed in a wide browser window (1200 pixels or more).   Download SED & P(z) plots to view larger versions.
In P(z) plots: Yellow lines mark the cluster redshift z = 0.228,  

Object #5668   x,y = (3826, 1765)   RA, Dec = (06:03:19.272, 42:09:12.24) = (90.83030, 42.15340)   BPZ = 0.025 [0.015--3.033]   type = 11.00 (SB11_A_0_l)   stellarity = 0.79   chisq2 = 69.22   ODDS = 0.21   z_cluster = 0.228