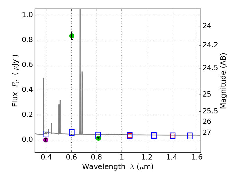
RXS0603+42-S IR detection object #5653

Color images and BPZ results
Catalog: 5653.cat
Black segments are analyzed here.   Roll mouse over color images to view segments.
Best viewed in a wide browser window (1200 pixels or more).   Download SED & P(z) plots to view larger versions.
In P(z) plots: Yellow lines mark the cluster redshift z = 0.228,  

Object #5653   x,y = (1074, 1774)   RA, Dec = (06:03:34.104, 42:09:12.60) = (90.89210, 42.15350)   BPZ = 0.023 [0.010--3.201]   type = 11.00 (SB11_A_0_l)   stellarity = 0.68   chisq2 = 678.30   ODDS = 0.78   z_cluster = 0.228