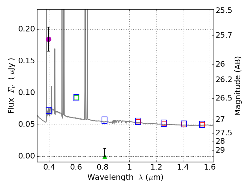
RXS0603+42-S IR detection object #5598

Color images and BPZ results
Catalog: 5598.cat
Black segments are analyzed here.   Roll mouse over color images to view segments.
Best viewed in a wide browser window (1200 pixels or more).   Download SED & P(z) plots to view larger versions.
In P(z) plots: Yellow lines mark the cluster redshift z = 0.228,  

Object #5598   x,y = (795, 1800)   RA, Dec = (06:03:35.616, 42:09:14.40) = (90.89840, 42.15400)   BPZ = 0.021 [0.010--0.056]   type = 11.00 (SB11_A_0_l)   stellarity = 0.65   chisq2 = 49.42   ODDS = 0.98   z_cluster = 0.228