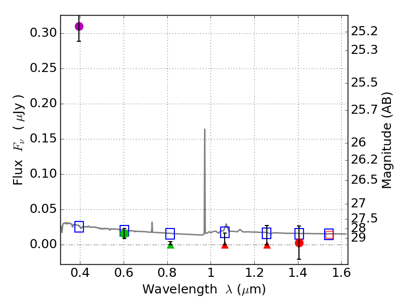
RXS0603+42-S IR detection object #5579

Color images and BPZ results
Catalog: 5579.cat
Black segments are analyzed here.   Roll mouse over color images to view segments.
Best viewed in a wide browser window (1200 pixels or more).   Download SED & P(z) plots to view larger versions.
In P(z) plots: Yellow lines mark the cluster redshift z = 0.228,  

Object #5579   x,y = (3692, 1804)   RA, Dec = (06:03:19.992, 42:09:14.40) = (90.83330, 42.15400)   BPZ = 1.609 [1.155--2.302]   type = 11.00 (SB11_A_0_l)   stellarity = 0.76   chisq2 = 61.65   ODDS = 0.30   z_cluster = 0.228