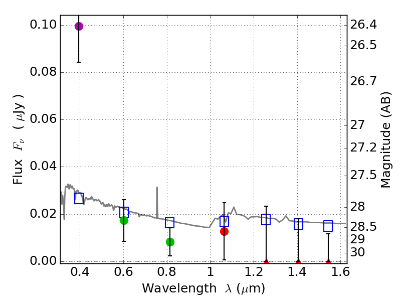
RXS0603+42-S IR detection object #5480

Color images and BPZ results
Catalog: 5480.cat
Black segments are analyzed here.   Roll mouse over color images to view segments.
Best viewed in a wide browser window (1200 pixels or more).   Download SED & P(z) plots to view larger versions.
In P(z) plots: Yellow lines mark the cluster redshift z = 0.228,  

Object #5480   x,y = (2413, 1847)   RA, Dec = (06:03:26.880, 42:09:17.28) = (90.86200, 42.15480)   BPZ = 1.702 [0.505--2.607]   type = 11.00 (SB11_A_0_l)   stellarity = 0.36   chisq2 = 6.81   ODDS = 0.28   z_cluster = 0.228