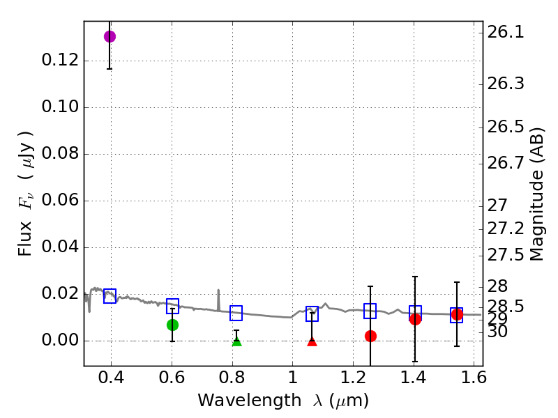
RXS0603+42-S IR detection object #5476

Color images and BPZ results
Catalog: 5476.cat
Black segments are analyzed here.   Roll mouse over color images to view segments.
Best viewed in a wide browser window (1200 pixels or more).   Download SED & P(z) plots to view larger versions.
In P(z) plots: Yellow lines mark the cluster redshift z = 0.228,  

Object #5476   x,y = (3686, 1845)   RA, Dec = (06:03:20.016, 42:09:16.92) = (90.83340, 42.15470)   BPZ = 1.698 [0.793--2.555]   type = 11.00 (SB11_A_0_l)   stellarity = 0.41   chisq2 = 17.76   ODDS = 0.24   z_cluster = 0.228