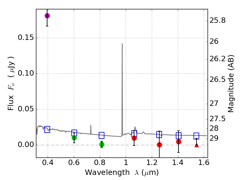
RXS0603+42-S IR detection object #5429

Color images and BPZ results
Catalog: 5429.cat
Black segments are analyzed here.   Roll mouse over color images to view segments.
Best viewed in a wide browser window (1200 pixels or more).   Download SED & P(z) plots to view larger versions.
In P(z) plots: Yellow lines mark the cluster redshift z = 0.228,  

Object #5429   x,y = (3682, 1876)   RA, Dec = (06:03:20.040, 42:09:18.72) = (90.83350, 42.15520)   BPZ = 1.612 [1.065--2.332]   type = 11.00 (SB11_A_0_l)   stellarity = 0.67   chisq2 = 30.91   ODDS = 0.33   z_cluster = 0.228