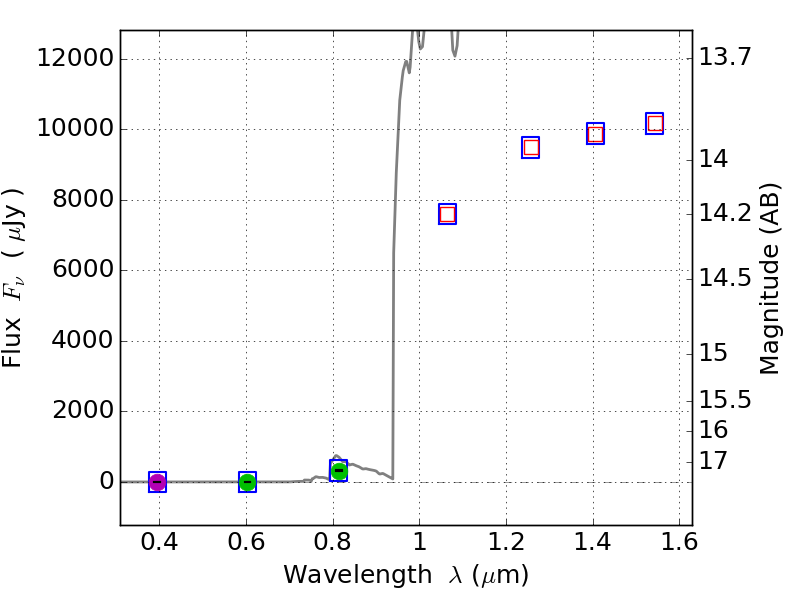
RXS0603+42-S IR detection object #5404

Color images and BPZ results
Catalog: 5404.cat
Black segments are analyzed here.   Roll mouse over color images to view segments.
Best viewed in a wide browser window (1200 pixels or more).   Download SED & P(z) plots to view larger versions.
In P(z) plots: Yellow lines mark the cluster redshift z = 0.228,  

Object #5404   x,y = (1512, 1885)   RA, Dec = (06:03:31.752, 42:09:19.44) = (90.88230, 42.15540)   BPZ = 6.728 [6.705--6.795]   type = 9.10 (SB2_B10 - SB3_B10)   stellarity = 0.36   chisq2 = 0.00   ODDS = 1.00   z_cluster = 0.228