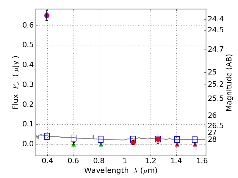
RXS0603+42-S IR detection object #5356

Color images and BPZ results
Catalog: 5356.cat
Black segments are analyzed here.   Roll mouse over color images to view segments.
Best viewed in a wide browser window (1200 pixels or more).   Download SED & P(z) plots to view larger versions.
In P(z) plots: Yellow lines mark the cluster redshift z = 0.228,  

Object #5356   x,y = (1914, 1912)   RA, Dec = (06:03:29.568, 42:09:20.88) = (90.87320, 42.15580)   BPZ = 1.700 [1.401--2.051]   type = 11.00 (SB11_A_0_l)   stellarity = 0.66   chisq2 = 147.90   ODDS = 0.62   z_cluster = 0.228