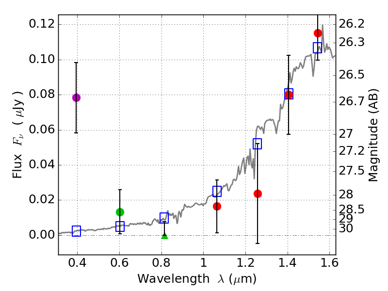
RXS0603+42-S IR detection object #5353

Color images and BPZ results
Catalog: 5353.cat
Black segments are analyzed here.   Roll mouse over color images to view segments.
Best viewed in a wide browser window (1200 pixels or more).   Download SED & P(z) plots to view larger versions.
In P(z) plots: Yellow lines mark the cluster redshift z = 0.228,  

Object #5353   x,y = (1758, 1912)   RA, Dec = (06:03:30.432, 42:09:20.88) = (90.87680, 42.15580)   BPZ = 2.129 [1.358--10.690]   type = 5.80 (Sbc_B10 - ES0_B10)   stellarity = 0.06   chisq2 = 3.88   ODDS = 0.16   z_cluster = 0.228