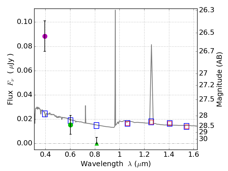
RXS0603+42-S IR detection object #5327

Color images and BPZ results
Catalog: 5327.cat
Black segments are analyzed here.   Roll mouse over color images to view segments.
Best viewed in a wide browser window (1200 pixels or more).   Download SED & P(z) plots to view larger versions.
In P(z) plots: Yellow lines mark the cluster redshift z = 0.228,  

Object #5327   x,y = (1026, 1932)   RA, Dec = (06:03:34.368, 42:09:22.32) = (90.89320, 42.15620)   BPZ = 1.595 [0.950--2.410]   type = 11.00 (SB11_A_0_l)   stellarity = 0.45   chisq2 = 33.81   ODDS = 0.25   z_cluster = 0.228