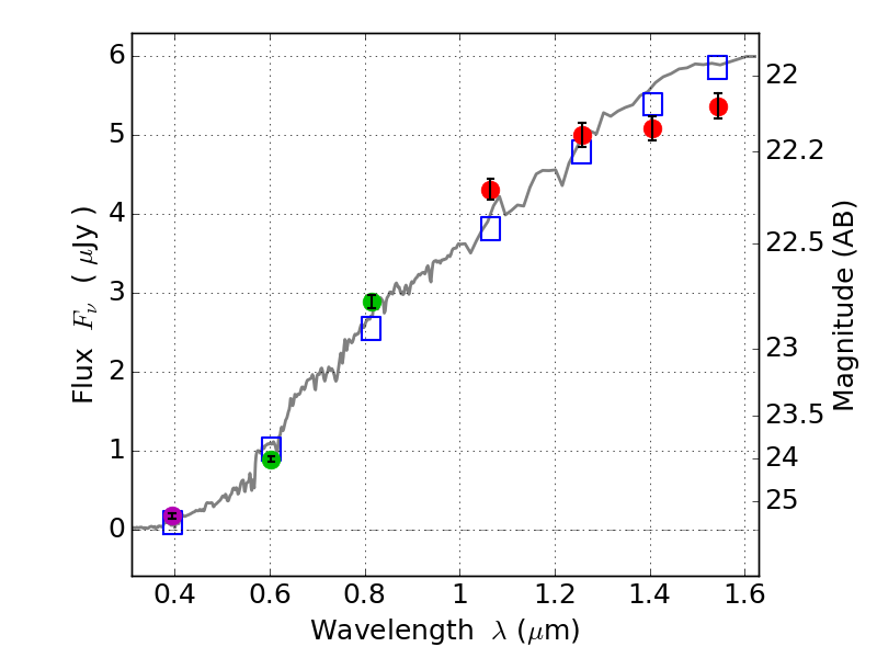
RXS0603+42-S IR detection object #5220

Color images and BPZ results
Catalog: 5220.cat
Black segments are analyzed here.   Roll mouse over color images to view segments.
Best viewed in a wide browser window (1200 pixels or more).   Download SED & P(z) plots to view larger versions.
In P(z) plots: Yellow lines mark the cluster redshift z = 0.228,  

Object #5220   x,y = (2974, 1970)   RA, Dec = (06:03:23.856, 42:09:24.48) = (90.84940, 42.15680)   BPZ = 0.430 [0.306--0.470]   type = 4.00 (Ell4_A_0)   stellarity = 0.98   chisq2 = 1.12   ODDS = 0.68   z_cluster = 0.228