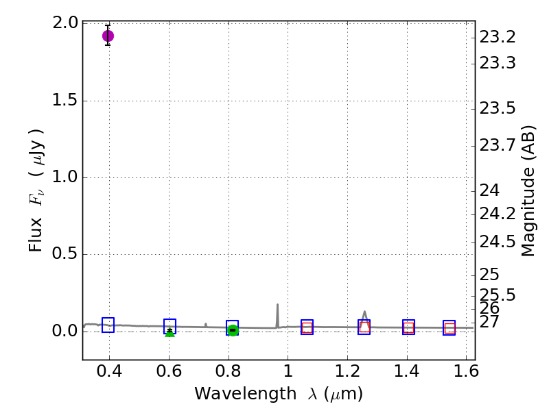
RXS0603+42-S IR detection object #5160

Color images and BPZ results
Catalog: 5160.cat
Black segments are analyzed here.   Roll mouse over color images to view segments.
Best viewed in a wide browser window (1200 pixels or more).   Download SED & P(z) plots to view larger versions.
In P(z) plots: Yellow lines mark the cluster redshift z = 0.228,  

Object #5160   x,y = (3770, 1997)   RA, Dec = (06:03:19.560, 42:09:26.28) = (90.83150, 42.15730)   BPZ = 1.594 [1.023--2.229]   type = 11.00 (SB11_A_0_l)   stellarity = 0.78   chisq2 = 881.20   ODDS = 0.29   z_cluster = 0.228