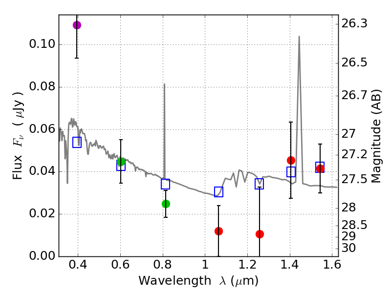
RXS0603+42-S IR detection object #5133

Color images and BPZ results
Catalog: 5133.cat
Black segments are analyzed here.   Roll mouse over color images to view segments.
Best viewed in a wide browser window (1200 pixels or more).   Download SED & P(z) plots to view larger versions.
In P(z) plots: Yellow lines mark the cluster redshift z = 0.228,  

Object #5133   x,y = (3142, 2014)   RA, Dec = (06:03:22.944, 42:09:27.36) = (90.84560, 42.15760)   BPZ = 1.888 [1.328--2.387]   type = 11.00 (SB11_A_0_l)   stellarity = 0.37   chisq2 = 4.19   ODDS = 0.37   z_cluster = 0.228