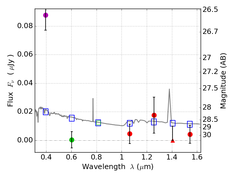
RXS0603+42-S IR detection object #5121

Color images and BPZ results
Catalog: 5121.cat
Black segments are analyzed here.   Roll mouse over color images to view segments.
Best viewed in a wide browser window (1200 pixels or more).   Download SED & P(z) plots to view larger versions.
In P(z) plots: Yellow lines mark the cluster redshift z = 0.228,  

Object #5121   x,y = (2613, 2026)   RA, Dec = (06:03:25.800, 42:09:28.08) = (90.85750, 42.15780)   BPZ = 1.763 [0.606--2.485]   type = 11.00 (SB11_A_0_l)   stellarity = 0.50   chisq2 = 16.97   ODDS = 0.27   z_cluster = 0.228