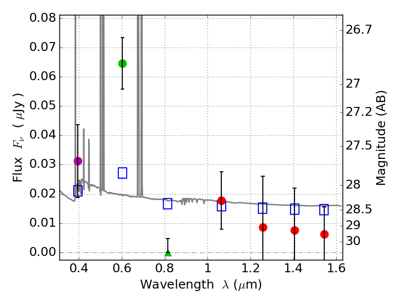
RXS0603+42-S IR detection object #5116

Color images and BPZ results
Catalog: 5116.cat
Black segments are analyzed here.   Roll mouse over color images to view segments.
Best viewed in a wide browser window (1200 pixels or more).   Download SED & P(z) plots to view larger versions.
In P(z) plots: Yellow lines mark the cluster redshift z = 0.228,  

Object #5116   x,y = (2951, 2024)   RA, Dec = (06:03:23.976, 42:09:27.72) = (90.84990, 42.15770)   BPZ = 0.029 [0.026--2.964]   type = 11.00 (SB11_A_0_l)   stellarity = 0.36   chisq2 = 7.52   ODDS = 0.07   z_cluster = 0.228