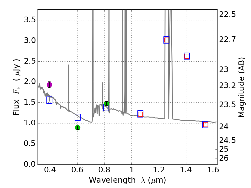
RXS0603+42-S IR detection object #5027

Color images and BPZ results
Catalog: 5027.cat
Black segments are analyzed here.   Roll mouse over color images to view segments.
Best viewed in a wide browser window (1200 pixels or more).   Download SED & P(z) plots to view larger versions.
In P(z) plots: Yellow lines mark the cluster redshift z = 0.228,  

Object #5027   x,y = (1276, 2102)   RA, Dec = (06:03:33.024, 42:09:32.40) = (90.88760, 42.15900)   BPZ = 0.918 [0.898--0.958]   type = 11.00 (SB11_A_0_l)   stellarity = 0.74   chisq2 = 4.81   ODDS = 1.00   z_cluster = 0.228