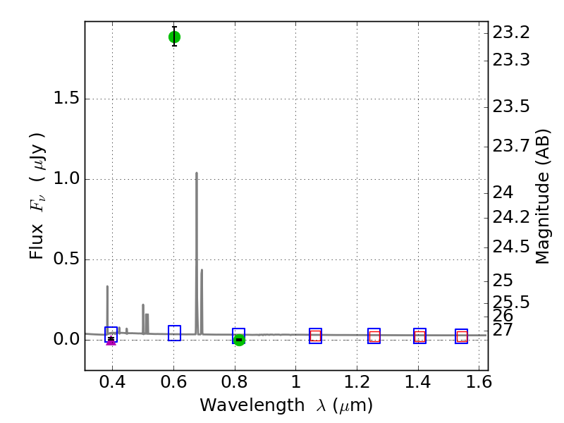
RXS0603+42-S IR detection object #5023

Color images and BPZ results
Catalog: 5023.cat
Black segments are analyzed here.   Roll mouse over color images to view segments.
Best viewed in a wide browser window (1200 pixels or more).   Download SED & P(z) plots to view larger versions.
In P(z) plots: Yellow lines mark the cluster redshift z = 0.228,  

Object #5023   x,y = (1034, 2079)   RA, Dec = (06:03:34.320, 42:09:30.96) = (90.89300, 42.15860)   BPZ = 0.028 [0.032--3.583]   type = 11.00 (SB11_A_0_l)   stellarity = 0.92   chisq2 = 987.30   ODDS = 0.05   z_cluster = 0.228