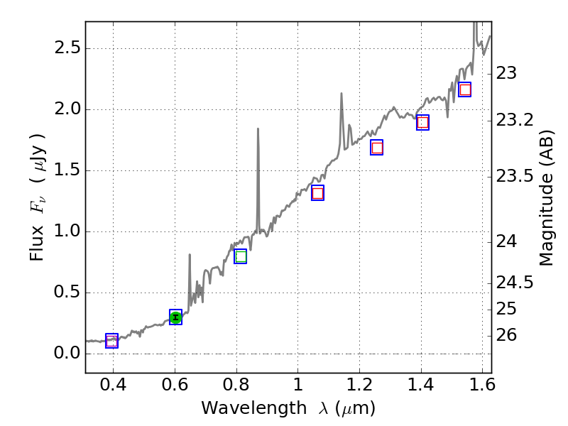
RXS0603+42-S IR detection object #5

Color images and BPZ results
Catalog: 5.cat
Black segments are analyzed here.   Roll mouse over color images to view segments.
Best viewed in a wide browser window (1200 pixels or more).   Download SED & P(z) plots to view larger versions.
In P(z) plots: Yellow lines mark the cluster redshift z = 0.228,  

Object #5   x,y = (1989, 4404)   RA, Dec = (06:03:29.184, 42:11:50.64) = (90.87160, 42.19740)   BPZ = 0.737 [0.185--4.459]   type = 6.50 (Scd_B10 - Sbc_B10)   stellarity = 0.65   chisq2 = 990.00   ODDS = 0.09   z_cluster = 0.228