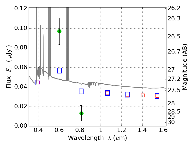
RXS0603+42-S IR detection object #4954

Color images and BPZ results
Catalog: 4954.cat
Black segments are analyzed here.   Roll mouse over color images to view segments.
Best viewed in a wide browser window (1200 pixels or more).   Download SED & P(z) plots to view larger versions.
In P(z) plots: Yellow lines mark the cluster redshift z = 0.228,  

Object #4954   x,y = (3865, 2089)   RA, Dec = (06:03:19.056, 42:09:31.68) = (90.82940, 42.15880)   BPZ = 0.030 [0.042--3.233]   type = 11.00 (SB11_A_0_l)   stellarity = 0.98   chisq2 = 14.91   ODDS = 0.03   z_cluster = 0.228