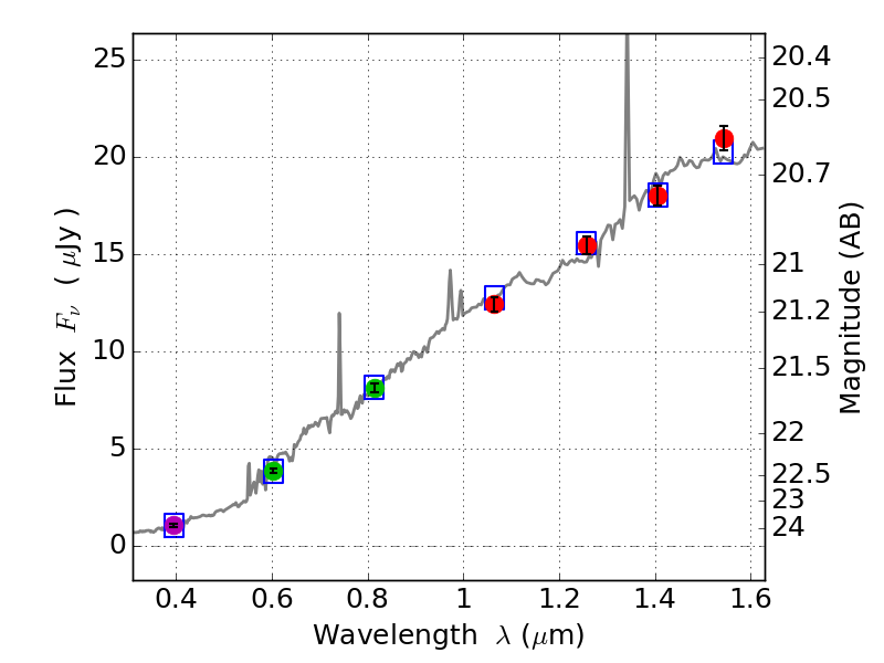
RXS0603+42-S IR detection object #4925

Color images and BPZ results
Catalog: 4925.cat
Black segments are analyzed here.   Roll mouse over color images to view segments.
Best viewed in a wide browser window (1200 pixels or more).   Download SED & P(z) plots to view larger versions.
In P(z) plots: Yellow lines mark the cluster redshift z = 0.228,  

Object #4925   x,y = (3620, 2100)   RA, Dec = (06:03:20.376, 42:09:32.40) = (90.83490, 42.15900)   BPZ = 0.482 [0.376--0.565]   type = 6.40 (Sbc_B10 - Scd_B10)   stellarity = 0.02   chisq2 = 0.07   ODDS = 0.81   z_cluster = 0.228