RXS0603+42-S IR detection object #4924

Color images and BPZ results
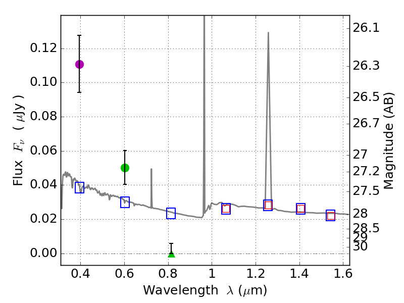
Catalog: 4924.cat
Black segments are analyzed here.   Roll mouse over color images to view segments.
Best viewed in a wide browser window (1200 pixels or more).   Download SED & P(z) plots to view larger versions.
In P(z) plots: Yellow lines mark the cluster redshift z = 0.228,  

Object #4924   x,y = (1113, 2125)   RA, Dec = (06:03:33.912, 42:09:33.84) = (90.89130, 42.15940)   BPZ = 1.595 [1.241--2.319]   type = 11.00 (SB11_A_0_l)   stellarity = 0.43   chisq2 = 36.04   ODDS = 0.31   z_cluster = 0.228