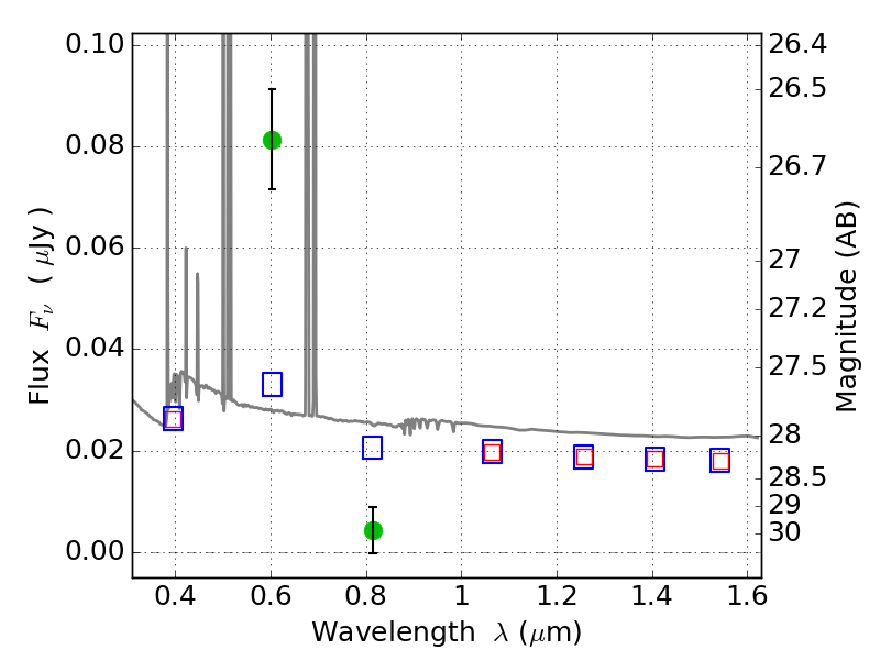
RXS0603+42-S IR detection object #4921

Color images and BPZ results
Catalog: 4921.cat
Black segments are analyzed here.   Roll mouse over color images to view segments.
Best viewed in a wide browser window (1200 pixels or more).   Download SED & P(z) plots to view larger versions.
In P(z) plots: Yellow lines mark the cluster redshift z = 0.228,  

Object #4921   x,y = (3967, 2124)   RA, Dec = (06:03:18.504, 42:09:33.84) = (90.82710, 42.15940)   BPZ = 0.027 [0.032--3.249]   type = 11.00 (SB11_A_0_l)   stellarity = 0.67   chisq2 = 33.81   ODDS = 0.04   z_cluster = 0.228