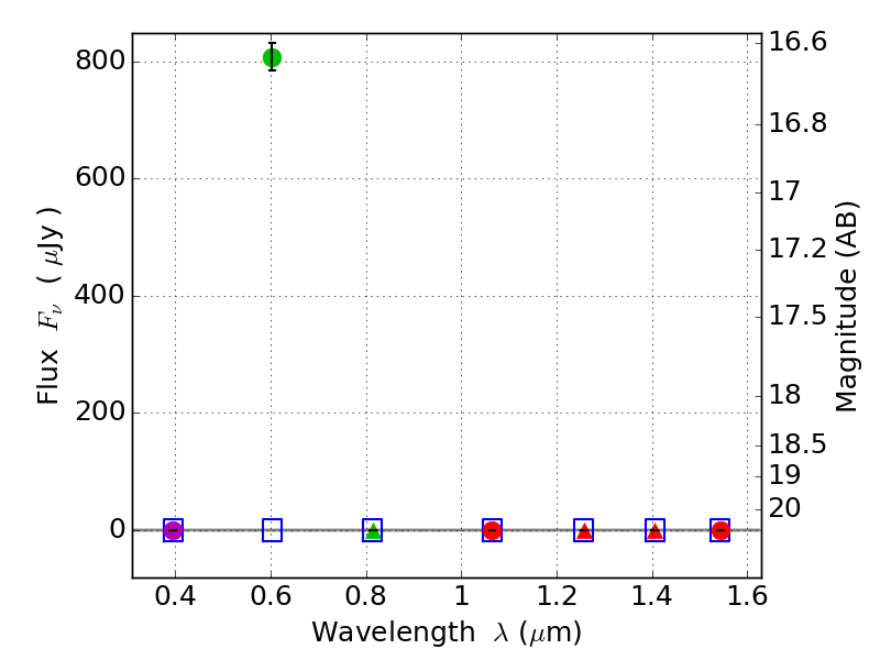
RXS0603+42-S IR detection object #4908

Color images and BPZ results
Catalog: 4908.cat
Black segments are analyzed here.   Roll mouse over color images to view segments.
Best viewed in a wide browser window (1200 pixels or more).   Download SED & P(z) plots to view larger versions.
In P(z) plots: Yellow lines mark the cluster redshift z = 0.228,  

Object #4908   x,y = (1695, 2127)   RA, Dec = (06:03:30.768, 42:09:33.84) = (90.87820, 42.15940)   BPZ = 0.445 [0.055--0.872]   type = 6.00 (Sbc_B10)   stellarity = 1.00   chisq2 = 287.40   ODDS = 0.21   z_cluster = 0.228