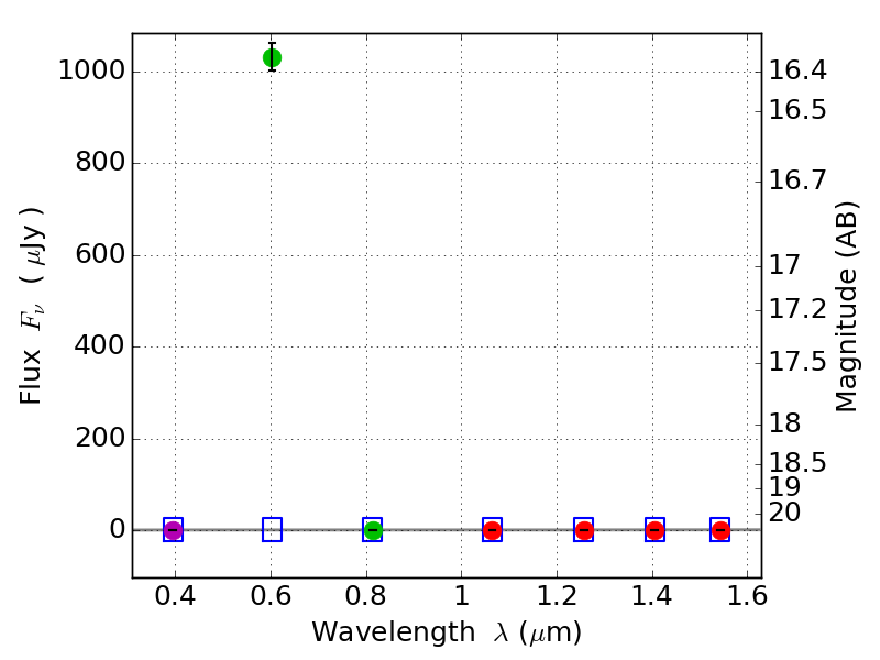
RXS0603+42-S IR detection object #4907

Color images and BPZ results
Catalog: 4907.cat
Black segments are analyzed here.   Roll mouse over color images to view segments.
Best viewed in a wide browser window (1200 pixels or more).   Download SED & P(z) plots to view larger versions.
In P(z) plots: Yellow lines mark the cluster redshift z = 0.228,  

Object #4907   x,y = (1685, 2103)   RA, Dec = (06:03:30.816, 42:09:32.40) = (90.87840, 42.15900)   BPZ = 2.343 [2.204--2.940]   type = 9.70 (SB3_B10 - SB2_B10)   stellarity = 1.00   chisq2 = 288.70   ODDS = 0.50   z_cluster = 0.228