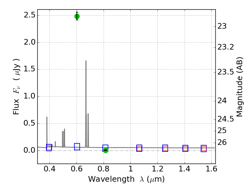
RXS0603+42-S IR detection object #4901

Color images and BPZ results
Catalog: 4901.cat
Black segments are analyzed here.   Roll mouse over color images to view segments.
Best viewed in a wide browser window (1200 pixels or more).   Download SED & P(z) plots to view larger versions.
In P(z) plots: Yellow lines mark the cluster redshift z = 0.228,  

Object #4901   x,y = (3980, 2130)   RA, Dec = (06:03:18.432, 42:09:34.20) = (90.82680, 42.15950)   BPZ = 0.023 [0.014--3.137]   type = 11.00 (SB11_A_0_l)   stellarity = 1.00   chisq2 = 1067.00   ODDS = 0.20   z_cluster = 0.228