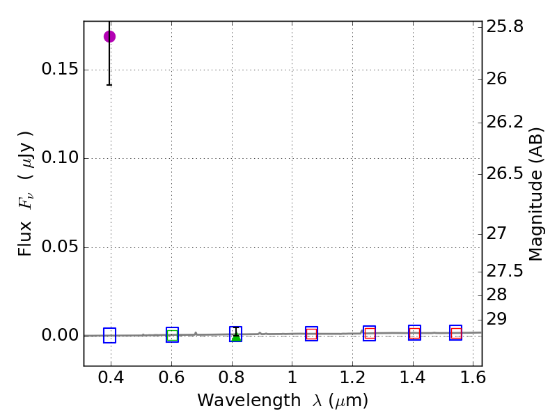
RXS0603+42-S IR detection object #4847

Color images and BPZ results
Catalog: 4847.cat
Black segments are analyzed here.   Roll mouse over color images to view segments.
Best viewed in a wide browser window (1200 pixels or more).   Download SED & P(z) plots to view larger versions.
In P(z) plots: Yellow lines mark the cluster redshift z = 0.228,  

Object #4847   x,y = (894, 2159)   RA, Dec = (06:03:35.088, 42:09:36.00) = (90.89620, 42.16000)   BPZ = 0.364 [0.044--0.863]   type = 7.00 (Scd_B10)   stellarity = 0.73   chisq2 = 37.58   ODDS = 0.19   z_cluster = 0.228