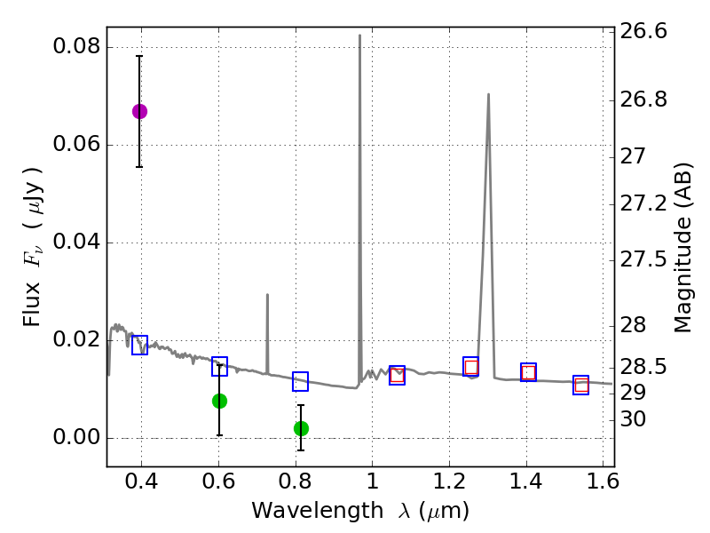
RXS0603+42-S IR detection object #4842

Color images and BPZ results
Catalog: 4842.cat
Black segments are analyzed here.   Roll mouse over color images to view segments.
Best viewed in a wide browser window (1200 pixels or more).   Download SED & P(z) plots to view larger versions.
In P(z) plots: Yellow lines mark the cluster redshift z = 0.228,  

Object #4842   x,y = (3809, 2585)   RA, Dec = (06:03:19.344, 42:10:01.56) = (90.83060, 42.16710)   BPZ = 1.596 [0.623--2.885]   type = 11.00 (SB11_A_0_l)   stellarity = 0.36   chisq2 = 22.31   ODDS = 0.19   z_cluster = 0.228