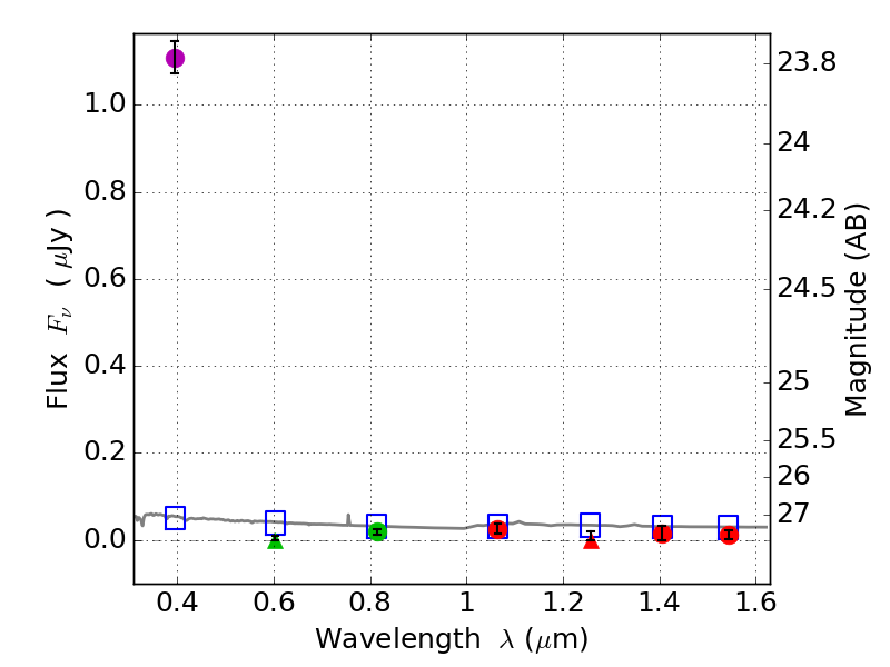
RXS0603+42-S IR detection object #4715

Color images and BPZ results
Catalog: 4715.cat
Black segments are analyzed here.   Roll mouse over color images to view segments.
Best viewed in a wide browser window (1200 pixels or more).   Download SED & P(z) plots to view larger versions.
In P(z) plots: Yellow lines mark the cluster redshift z = 0.228,  

Object #4715   x,y = (1971, 2232)   RA, Dec = (06:03:29.280, 42:09:40.32) = (90.87200, 42.16120)   BPZ = 1.700 [1.187--2.052]   type = 11.00 (SB11_A_0_l)   stellarity = 0.65   chisq2 = 198.40   ODDS = 0.60   z_cluster = 0.228