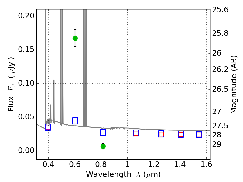
RXS0603+42-S IR detection object #4699

Color images and BPZ results
Catalog: 4699.cat
Black segments are analyzed here.   Roll mouse over color images to view segments.
Best viewed in a wide browser window (1200 pixels or more).   Download SED & P(z) plots to view larger versions.
In P(z) plots: Yellow lines mark the cluster redshift z = 0.228,  

Object #4699   x,y = (4030, 2238)   RA, Dec = (06:03:18.168, 42:09:40.68) = (90.82570, 42.16130)   BPZ = 0.022 [0.010--2.809]   type = 11.00 (SB11_A_0_l)   stellarity = 0.97   chisq2 = 109.00   ODDS = 0.67   z_cluster = 0.228