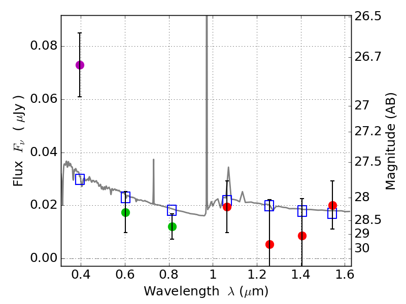
RXS0603+42-S IR detection object #4679

Color images and BPZ results
Catalog: 4679.cat
Black segments are analyzed here.   Roll mouse over color images to view segments.
Best viewed in a wide browser window (1200 pixels or more).   Download SED & P(z) plots to view larger versions.
In P(z) plots: Yellow lines mark the cluster redshift z = 0.228,  

Object #4679   x,y = (1739, 2248)   RA, Dec = (06:03:30.528, 42:09:41.04) = (90.87720, 42.16140)   BPZ = 1.612 [0.815--2.459]   type = 11.00 (SB11_A_0_l)   stellarity = 0.43   chisq2 = 3.93   ODDS = 0.23   z_cluster = 0.228