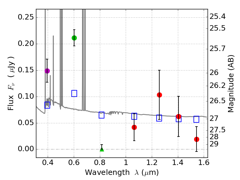
RXS0603+42-S IR detection object #4644

Color images and BPZ results
Catalog: 4644.cat
Black segments are analyzed here.   Roll mouse over color images to view segments.
Best viewed in a wide browser window (1200 pixels or more).   Download SED & P(z) plots to view larger versions.
In P(z) plots: Yellow lines mark the cluster redshift z = 0.228,  

Object #4644   x,y = (3512, 2254)   RA, Dec = (06:03:20.952, 42:09:41.40) = (90.83730, 42.16150)   BPZ = 0.020 [0.010--0.050]   type = 11.00 (SB11_A_0_l)   stellarity = 0.29   chisq2 = 20.94   ODDS = 0.98   z_cluster = 0.228