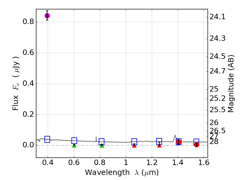
RXS0603+42-S IR detection object #4586

Color images and BPZ results
Catalog: 4586.cat
Black segments are analyzed here.   Roll mouse over color images to view segments.
Best viewed in a wide browser window (1200 pixels or more).   Download SED & P(z) plots to view larger versions.
In P(z) plots: Yellow lines mark the cluster redshift z = 0.228,  

Object #4586   x,y = (2623, 2309)   RA, Dec = (06:03:25.752, 42:09:45.00) = (90.85730, 42.16250)   BPZ = 1.762 [1.398--2.144]   type = 11.00 (SB11_A_0_l)   stellarity = 0.64   chisq2 = 178.40   ODDS = 0.51   z_cluster = 0.228