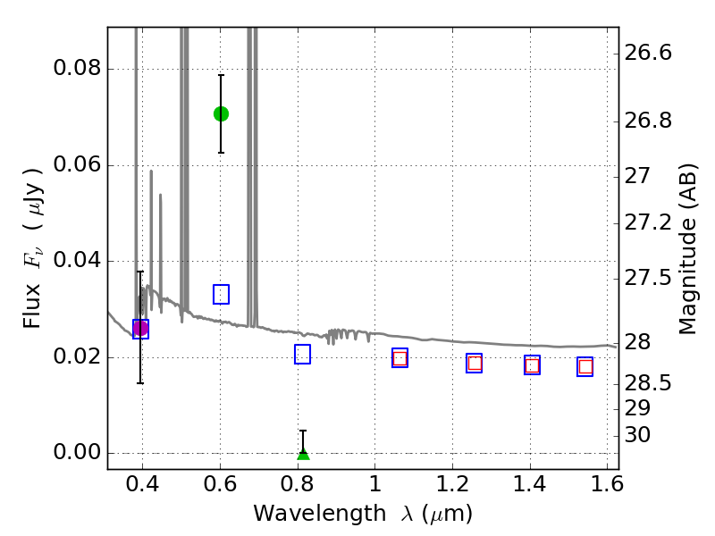
RXS0603+42-S IR detection object #4570

Color images and BPZ results
Catalog: 4570.cat
Black segments are analyzed here.   Roll mouse over color images to view segments.
Best viewed in a wide browser window (1200 pixels or more).   Download SED & P(z) plots to view larger versions.
In P(z) plots: Yellow lines mark the cluster redshift z = 0.228,  

Object #4570   x,y = (1430, 2315)   RA, Dec = (06:03:32.184, 42:09:45.36) = (90.88410, 42.16260)   BPZ = 0.026 [0.017--2.875]   type = 11.00 (SB11_A_0_l)   stellarity = 0.36   chisq2 = 35.67   ODDS = 0.15   z_cluster = 0.228