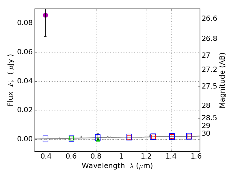
RXS0603+42-S IR detection object #4552

Color images and BPZ results
Catalog: 4552.cat
Black segments are analyzed here.   Roll mouse over color images to view segments.
Best viewed in a wide browser window (1200 pixels or more).   Download SED & P(z) plots to view larger versions.
In P(z) plots: Yellow lines mark the cluster redshift z = 0.228,  

Object #4552   x,y = (1028, 2324)   RA, Dec = (06:03:34.368, 42:09:45.72) = (90.89320, 42.16270)   BPZ = 0.363 [0.037--0.861]   type = 7.00 (Scd_B10)   stellarity = 0.46   chisq2 = 33.63   ODDS = 0.19   z_cluster = 0.228