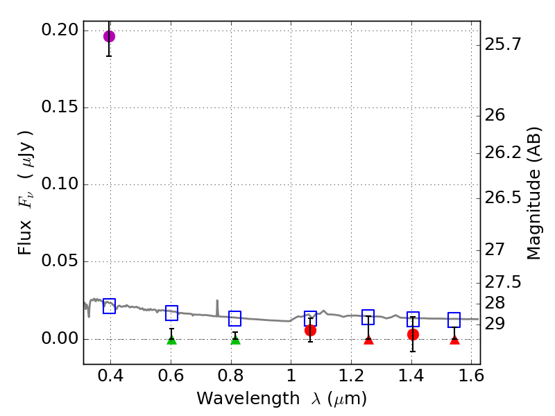
RXS0603+42-S IR detection object #4541

Color images and BPZ results
Catalog: 4541.cat
Black segments are analyzed here.   Roll mouse over color images to view segments.
Best viewed in a wide browser window (1200 pixels or more).   Download SED & P(z) plots to view larger versions.
In P(z) plots: Yellow lines mark the cluster redshift z = 0.228,  

Object #4541   x,y = (2727, 2329)   RA, Dec = (06:03:25.200, 42:09:46.08) = (90.85500, 42.16280)   BPZ = 1.701 [1.073--2.237]   type = 11.00 (SB11_A_0_l)   stellarity = 0.69   chisq2 = 48.82   ODDS = 0.45   z_cluster = 0.228