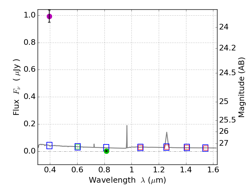
RXS0603+42-S IR detection object #4526

Color images and BPZ results
Catalog: 4526.cat
Black segments are analyzed here.   Roll mouse over color images to view segments.
Best viewed in a wide browser window (1200 pixels or more).   Download SED & P(z) plots to view larger versions.
In P(z) plots: Yellow lines mark the cluster redshift z = 0.228,  

Object #4526   x,y = (943, 2331)   RA, Dec = (06:03:34.824, 42:09:46.08) = (90.89510, 42.16280)   BPZ = 1.595 [1.237--2.196]   type = 11.00 (SB11_A_0_l)   stellarity = 0.66   chisq2 = 461.00   ODDS = 0.35   z_cluster = 0.228