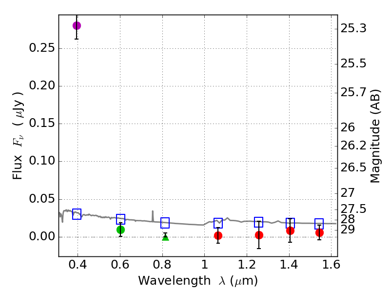
RXS0603+42-S IR detection object #4406

Color images and BPZ results
Catalog: 4406.cat
Black segments are analyzed here.   Roll mouse over color images to view segments.
Best viewed in a wide browser window (1200 pixels or more).   Download SED & P(z) plots to view larger versions.
In P(z) plots: Yellow lines mark the cluster redshift z = 0.228,  

Object #4406   x,y = (3318, 2389)   RA, Dec = (06:03:22.008, 42:09:49.68) = (90.84170, 42.16380)   BPZ = 1.699 [1.252--2.241]   type = 11.00 (SB11_A_0_l)   stellarity = 0.69   chisq2 = 49.99   ODDS = 0.45   z_cluster = 0.228