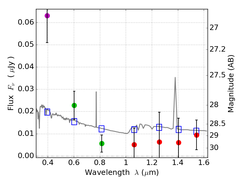
RXS0603+42-S IR detection object #4368

Color images and BPZ results
Catalog: 4368.cat
Black segments are analyzed here.   Roll mouse over color images to view segments.
Best viewed in a wide browser window (1200 pixels or more).   Download SED & P(z) plots to view larger versions.
In P(z) plots: Yellow lines mark the cluster redshift z = 0.228,  

Object #4368   x,y = (3388, 2405)   RA, Dec = (06:03:21.624, 42:09:50.76) = (90.84010, 42.16410)   BPZ = 1.763 [0.611--2.774]   type = 11.00 (SB11_A_0_l)   stellarity = 0.36   chisq2 = 4.46   ODDS = 0.23   z_cluster = 0.228