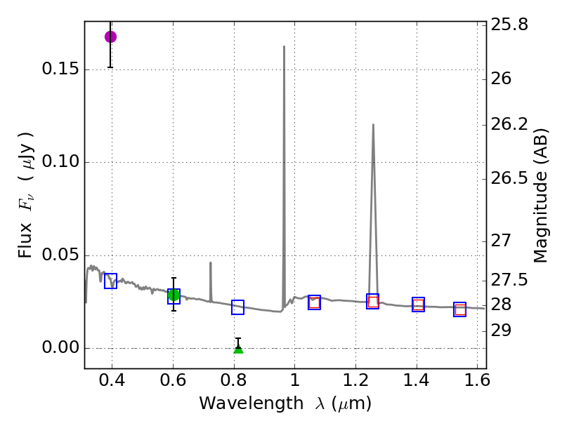
RXS0603+42-S IR detection object #4361

Color images and BPZ results
Catalog: 4361.cat
Black segments are analyzed here.   Roll mouse over color images to view segments.
Best viewed in a wide browser window (1200 pixels or more).   Download SED & P(z) plots to view larger versions.
In P(z) plots: Yellow lines mark the cluster redshift z = 0.228,  

Object #4361   x,y = (1606, 2531)   RA, Dec = (06:03:31.248, 42:09:58.32) = (90.88020, 42.16620)   BPZ = 1.594 [1.250--2.192]   type = 11.00 (SB11_A_0_l)   stellarity = 0.51   chisq2 = 76.12   ODDS = 0.35   z_cluster = 0.228