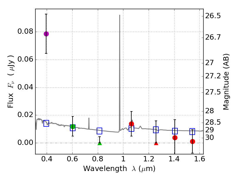
RXS0603+42-S IR detection object #4325

Color images and BPZ results
Catalog: 4325.cat
Black segments are analyzed here.   Roll mouse over color images to view segments.
Best viewed in a wide browser window (1200 pixels or more).   Download SED & P(z) plots to view larger versions.
In P(z) plots: Yellow lines mark the cluster redshift z = 0.228,  

Object #4325   x,y = (3269, 2418)   RA, Dec = (06:03:22.272, 42:09:51.48) = (90.84280, 42.16430)   BPZ = 1.612 [0.333--4.371]   type = 11.00 (SB11_A_0_l)   stellarity = 0.39   chisq2 = 6.39   ODDS = 0.15   z_cluster = 0.228